Last edited on 2011-06-06 21:26:07 by stolfi
Cache/Memory Performance Benchmarks of
Shared-Memory Multiprocessor Machines
Various IC machines
For comparison, the same benchmark was measured on various machines,
old and new, available at the Institute:
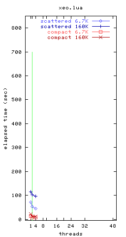
- xeo.lua:
Intel server, 2 CPU's Pentium II (Xeon) 398 MHz, 512 KB cache/CPU.
- dec.bela:
DEC (Compaq) workstation, 1 CPU Alpha 21164A 599 MHz.
- sgi.duerer:
Silicon Graphics O2 workstation, 1 CPU MIPS R5000 180 MHz, 32+32 KB cache.
- ncm.davinci:
Nelson Machado's "Frankenstein" PC, 1 CPU Pentium MMX 233MHz(?), ??? cache.
- sun.pinheiros:
Sun SPARCstation-20, 4 CPUs 50 MHz.
- sun.euler:
Sun SPARCserver-1000, 8 CPUs 50 MHz.
- sun.atoba:
Sun SPARCstation-4, 1 CPU 110 MHz.
- sun.tiete:
Sun SPARC Ultra-2, 2 CPUs 200 MHz.
- sun.tigre:
Sun SPARC Ultra-Enterprise, 2 CPUs 248 MHz.
To avoid VM paging, the address space was reduced from 6 GB to 33 MB
for sun.atoba, 50MB for ncm.davinci,
and 70 MB for the rest. The results are plotted below, using the same
scale as in as the main plots. Beware
that some data went off-scale in the linear plots.
Elapsed time - Linear scale
Elapsed time - Log scale
More plots
Main tests
Alternative tests